Vol. 57 No. 3 (2025): Vol. 57 No. 3 (2025): June

Published: 2025-03-27

Articles

  • Enhancing Biogas Production through the Co-Digestion of Indigofera and Cow Manure for Electricity Generation

    Suyitno Suyitno (1), Wibawa Endra Juwana (2), Mohamad Muqoffa (3)
    (1) Faculty of Engineering, Sebelas Maret University, Jalan Ir. Sutami 36A, Surakarta, Indonesia ,
    (2) Faculty of Engineering, Sebelas Maret University, Jalan Ir. Sutami 36A, Surakarta, Indonesia ,
    (3) Faculty of Engineering, Sebelas Maret University, Jalan Ir. Sutami 36A, Surakarta, Indonesia
    291-302
    Abstract : 2310
    PDF : 967
    DOI: https://doi.org/10.5614/j.eng.technol.sci.2025.57.3.1
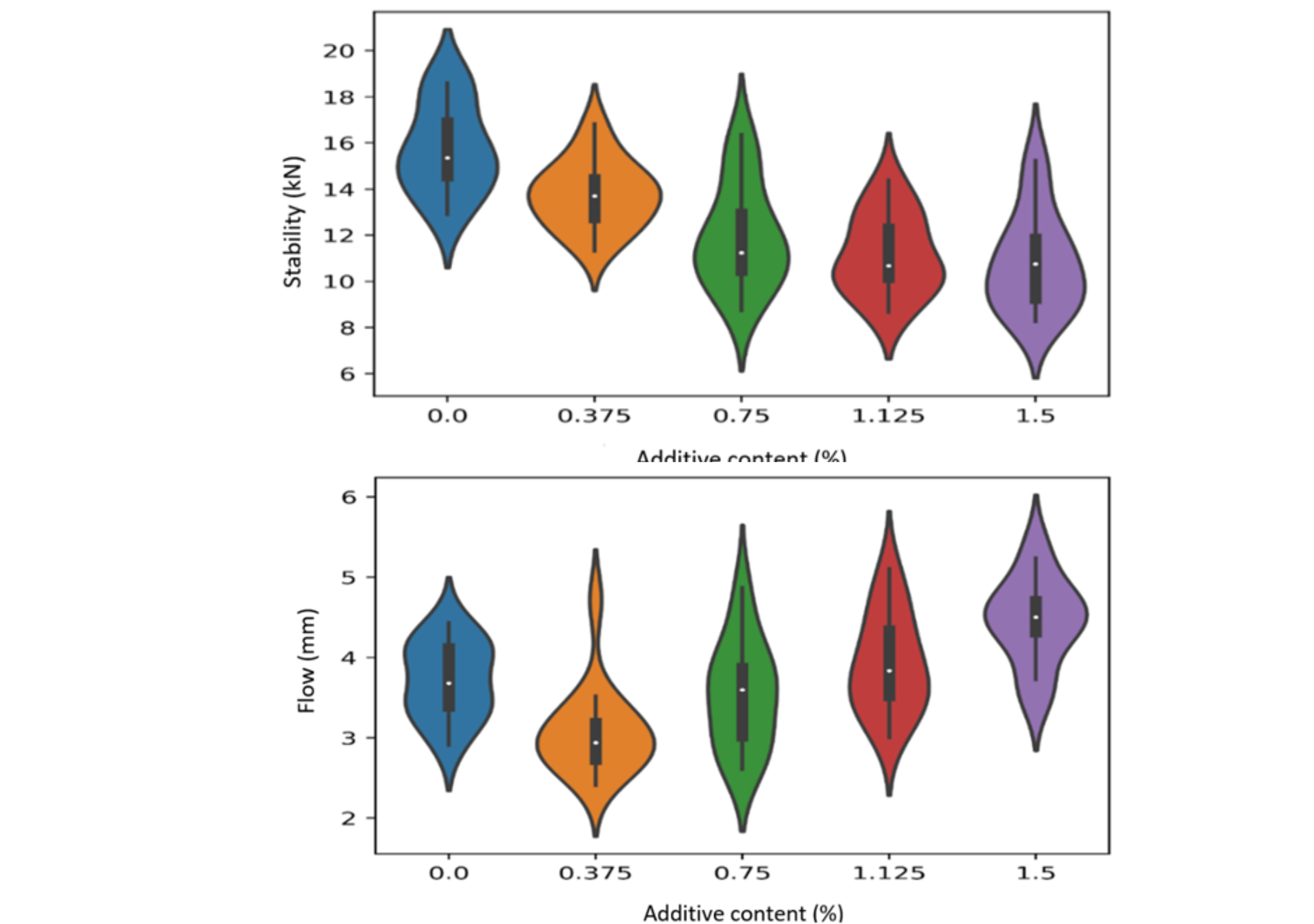
  • Decision Tree Machine Learning Approach for the Performance Prediction of Asphalt Mixes Modified with Waste Tyre Metal Fibre

    Arsalaan Khan (1), Muslich Hartadi Sutanto (2), Nasir Khan (3), Abdullah O. Baarimah (4), Mohamed Mubarak Abdul Wahab (5), Muhammad Imran Khan (6), Madhusudhan Bangalore Ramu (7), Rawid Khan (8)
    (1) Department of Civil and Environmental Engineering, Universiti Teknologi PETRONAS, Seri Iskandar 32610, Malaysia ,
    (2) Department of Civil and Environmental Engineering, Universiti Teknologi PETRONAS, Seri Iskandar 32610, Malaysia ,
    (3) Department of Civil and Environmental Engineering, Universiti Teknologi PETRONAS, Seri Iskandar 32610, Malaysia ,
    (4) Department of Civil and Construction Engineering, College of Engineering, A'Sharqiyah University, 400 Ibra, Oman ,
    (5) Center of Urban Resource Sustainability, Institute of Smart and Sustainable Living, Universiti Teknologi PETRONAS, Seri Iskandar 32610, Perak, Malaysia ,
    (6) Department of Civil Engineering, College of Engineering, Imam Mohammad Ibn Saud Islamic University (IMSIU), Riyadh 11432, Saudi Arabia ,
    (7) Department of Civil and Construction Engineering, College of Engineering, A'Sharqiyah University, 400 Ibra, Oman ,
    (8) Department of Civil Engineering, University of Engineering & Technology Peshawar, 25120 Khyber Pakhtunkhwa, , Pakistan
    303-314
    Abstract : 2001
    PDF : 718
    DOI: https://doi.org/10.5614/j.eng.technol.sci.2025.57.3.2
  • Life Cycle Assessment of Decaffeinated Coffee Beans Production

    Dian Shofinita (1), Dianika Lestari (2), Fiorine Fiorine (3), Andreana Rochili (4), Anggit Raksajati (5), Amarthya Achmadi (6)
    (1) Department of Chemical Engineering, Institut Teknologi Bandung, Jalan Ganesa No. 10, Bandung 40132, Indonesia, Indonesia ,
    (2) Department of Chemical Engineering, Institut Teknologi Bandung, Jalan Ganesa No. 10, Bandung 40132, Indonesia, Indonesia ,
    (3) Department of Food Engineering, Institut Teknologi Bandung Jalan Let. Jen. Purn. Dr. (HC). Mashudi No. 1/ Jalan Raya Jatinangor KM 20,75, Sumedang 45363, Indonesia, Indonesia ,
    (4) Department of Food Engineering, Institut Teknologi Bandung Jalan Let. Jen. Purn. Dr. (HC). Mashudi No. 1/ Jalan Raya Jatinangor KM 20,75, Sumedang 45363, Indonesia, Indonesia ,
    (5) Department of Food Engineering, Institut Teknologi Bandung Jalan Let. Jen. Purn. Dr. (HC). Mashudi No. 1/ Jalan Raya Jatinangor KM 20,75, Sumedang 45363, Indonesia, Indonesia ,
    (6) Department of Chemical Engineering, Institut Teknologi Bandung, Jalan Ganesa No. 10, Bandung 40132, Indonesia, Indonesia
    315-326
    Abstract : 1278
    PDF : 736
    DOI: https://doi.org/10.5614/j.eng.technol.sci.2025.57.3.3
  • Volcanoes Segmentation at the Western Sunda Arc based on Satellite-derived Geological Lineaments and Land Surface Temperatures

    Ridwan Rahmanto (1), Asep Saepuloh (2), Estu Kriswati (3), Heruningtyas Desi Purnamasari (4)
    (1) Faculty of Exploration and Production Technology, Pertamina University, Jalan Teuku Nyak Arief, Simprug, Kebayoran Lama, South Jakarta 12220, Indonesia ,
    (2) Faculty of Earth Sciences and Technology, Institut Teknologi Bandung, Jalan Ganesa No. 10 Bandung 40132, West Java, Indonesia ,
    (3) National Research and Innovation Agency, Jalan Cisitu Lama No. 21-D, Bandung 40135, , Indonesia ,
    (4) Center for Volcanology and Geological Hazard Mitigation (CVGHM), Geological Agency, Jalan Diponegoro No. 57, Bandung 40122,, Indonesia
    327-342
    Abstract : 1196
    PDF : 477
    DOI: https://doi.org/10.5614/j.eng.technol.sci.2025.57.3.4
  • Fully Automated Ground Motion Selection Platform Considering Multiple Seismic Source Contributions for Seismic Evaluation of Existing Buildings in Indonesia

    Nick Alexander (1), Masyhur Irsyam (2), Muhammad Asrurifak (3), Hendriyawan Hendriyawan (4), Lutfi Faizal (5)
    (1) Faculty of Civil and Environmental Engineering, Institut Teknologi Bandung, Jalan Ganesa No. 10, Bandung 40132, , Indonesia ,
    (2) Faculty of Civil and Environmental Engineering, Institut Teknologi Bandung, Jalan Ganesa No. 10, Bandung 40132, , Indonesia ,
    (3) Faculty of Civil and Environmental Engineering, Institut Teknologi Bandung, Jalan Ganesa No. 10, Bandung 40132, , Indonesia ,
    (4) Faculty of Civil and Environmental Engineering, Institut Teknologi Bandung, Jalan Ganesa No. 10, Bandung 40132, , Indonesia ,
    (5) National Institute of Science and Technology, Jalan Moch. Kahfi II No. 30, South Jakarta 12630, Indonesia
    343-356
    Abstract : 1277
    PDF : 390
    DOI: https://doi.org/10.5614/j.eng.technol.sci.2025.57.3.5
  • Assessment of Job Satisfaction of Civil Engineers Working in the Transportation Sector of Bagmati Province, Nepal

    Samir Musyaju (1), Dinesh Sukamani (2), Manita Kusi (3)
    (1) , Nepal ,
    (2) a:1:{s:5:"en_US";s:26:"Nepal Engineering College ";}, Nepal ,
    (3) , Nepal
    357-372
    Abstract : 1491
    PDF : 403
    DOI: https://doi.org/10.5614/j.eng.technol.sci.2025.57.3.6
  • Development of Active-Smart Packaging: Effect of Chitosan Nanofiber, Zinc Oxide Nanoparticles, and Anthocyanin on Gelatine-Based Halochromic Film for Meat Preservation

    Nita Kusumawati (1), Asrul Bahar (2), Maria Monica Sianita Basukiwardojo (3), Samik Samik (4), Nunik Tri Rahayu (5), Indri Wasa Estiningtyas (6), Muhammad Ridho Hafid Kurniawan (7)
    (1) Department of Family Welfare Education, Universitas Negeri Surabaya, Jalan Ketintang, Ketintang, Kec. Gayungan, Surabaya, 60231, Indonesia ,
    (2) Department of Chemistry, Universitas Negeri Surabaya, Jalan Ketintang, Ketintang, Kec. Gayungan, Surabaya 60231, Indonesia ,
    (3) Department of Family Welfare Education, Universitas Negeri Surabaya, Jalan Ketintang, Ketintang, Kec. Gayungan, Surabaya, 60231, Indonesia ,
    (4) Department of Family Welfare Education, Universitas Negeri Surabaya, Jalan Ketintang, Ketintang, Kec. Gayungan, Surabaya, 60231, Indonesia ,
    (5) Department of Family Welfare Education, Universitas Negeri Surabaya, Jalan Ketintang, Ketintang, Kec. Gayungan, Surabaya, 60231, Indonesia ,
    (6) Department of Family Welfare Education, Universitas Negeri Surabaya, Jalan Ketintang, Ketintang, Kec. Gayungan, Surabaya, 60231, Indonesia ,
    (7) Department of Family Welfare Education, Universitas Negeri Surabaya, Jalan Ketintang, Ketintang, Kec. Gayungan, Surabaya, 60231, Indonesia
    373-388
    Abstract : 1079
    PDF : 506
    DOI: https://doi.org/10.5614/j.eng.technol.sci.2025.57.3.7
  • Design and Test of a Secondary Shearing Device for the Lentinus Edodes Stem

    Zhen Wang (1), Weizhong Xiao (2), Yuandong Liu (3), Yuting Zhang (4), Qin Liu (5), Xiao Cui (6), Weili Kong (7)
    (1) College of Energy Engineering, Huanghuai University, Zhumadian, Henan 463000, China, China ,
    (2) College of Energy Engineering, Huanghuai University, Zhumadian, Henan 463000, China, China ,
    (3) Zhoukou Academy of Agricultural Sciences, Zhoukou, Henan 466000, China, China ,
    (4) Henan Academy of Agricultural Sciences, Zhengzhou, Henan 450002, China, China ,
    (5) Henan Academy of Agricultural Sciences, Zhengzhou, Henan 450002, China, China ,
    (6) Henan Academy of Agricultural Sciences, Zhengzhou, Henan 450002, China, China ,
    (7) Henan Academy of Agricultural Sciences, Zhengzhou, Henan 450002, China
    389-406
    Abstract : 443
    PDF : 167
    DOI: https://doi.org/10.5614/j.eng.technol.sci.2025.57.3.8
  • An Adaptive Multi-region Fusion Network for Dense Face Detection

    Luxia Yang (1), Chuanghui Zhang (2), Hongrui Zhang (3), Yilin Hou (4)
    (1) Department of Computer Science and Technology, Taiyuan Normal University, No. 319 Daxue Street, Yuci District, Jinzhong City, Shanxi Province, Jinzhong 030619, China ,
    (2) Department of Computer Science and Technology, Taiyuan Normal University, No. 319 Daxue Street, Yuci District, Jinzhong City, Shanxi Province, Jinzhong 030619, China ,
    (3) Department of Computer Science and Technology, Taiyuan Normal University, No. 319 Daxue Street, Yuci District, Jinzhong City, Shanxi Province, Jinzhong 030619, China ,
    (4) Department of Computer Science and Technology, Taiyuan Normal University, No. 319 Daxue Street, Yuci District, Jinzhong City, Shanxi Province, Jinzhong 030619, China
    407-421
    Abstract : 485
    PDF : 207
    DOI: https://doi.org/10.5614/j.eng.technol.sci.2025.57.3.9
  • Improving Myoelectric Hand Gesture Recognition using Multiple High-density Maps

    Hanadi A. Jaber (1), Heba Hakim (2), Zaineb Mohammed Alhakeem (3), Aum_Al Huda G. Abood (4)
    (1) Computer Engineering Department, University of Basrah, Basrah 61004, , Iraq ,
    (2) Computer Engineering Department, University of Basrah, Basrah 61004, , Iraq ,
    (3) Basrah University for Oil and Gas, Basrah 61001, Iraq ,
    (4) Computer Engineering Department, University of Basrah, Basrah 61004, , Iraq
    422-430
    Abstract : 606
    PDF : 206
    DOI: https://doi.org/10.5614/j.eng.technol.sci.2025.57.3.10